
英文题目:A hierarchical cooperative merging control strategy for the mixed traffic of CAVs and HDVs
中文题目:一种面向CAV和HDV混合交通的分层协同合流控制策略
论文作者:景典,陈荣升,姚恩建,Monica Menendez
论文期刊:Transportation Research Part C-Emerging Technologies
摘要:
在高速公路合流区,车辆间的相互作用可能导致交通拥堵和潜在碰撞风险,进而造成经济损失和环境污染。随着车联网与自动驾驶技术(CAV)的发展,通过轨迹级车辆控制有望解决这些问题。然而,由于当前仍存在大量人工驾驶车辆(HDVs)在运行,要实现纯CAV环境仍需时日。这促使我们探索能应对CAV与HDVs混合交通环境的合流控制策略。为此,本研究提出了一种分层协作控制策略,包含合流排序层和运动规划层,以促进CAV在高速公路合流区的平稳合流。首先,基于路侧单元实时采集的交通数据,综合考虑交通效率、安全性和驾驶舒适性,确定全局最优合流顺序。通过构建零一整数规划模型,将合流排序转化为最短路径搜索问题,显著提升求解效率。其次,针对车队中所有车辆的状态误差,提出具有通信延迟的共识控制器,以应对未来混合交通环境。通过推导局部稳定性和弦稳定性条件,建立了参数设置准则。最后,我们通过多项实验评估了所提出的共识控制器性能,并分析了搭载该控制器的自动驾驶车辆对交通流的影响。研究结果表明:(1)该算法能提供更合理的合流序列,有效减少潜在冲突,助力自动驾驶车辆高效完成合流;(2)提升自动驾驶车辆的渗透率可显著增强合流区域交通流的抗干扰性能、鲁棒性和稳定性。相关算法与研究成果可为未来自动驾驶系统开发提供参考依据。
2019年,美国交通拥堵造成的经济损失超过880亿美元。交通拥堵不仅降低通行效率、增加碰撞风险,还会导致燃油消耗过度和环境污染加剧。高速公路合流区是重点研究领域,由于匝道车辆与主线车辆的复杂互动,这些区域常成为交通瓶颈。匝道车辆需要通过调整车速,在保持安全距离的同时,从主线车流中找到合适的空隙。与此同时,主干道车辆需要决定是否让行,通常还需调整车速。由于合流区车辆间缺乏有效沟通,它们可能为争夺通行权展开激烈竞争,导致三大问题:(1)选择的间隙可能过小,增加碰撞风险;(2)主干道车辆可能被迫突然减速,引发交通震荡和拥堵;(3)匝道车辆可能无法平稳汇入,导致匝道形成排队现象,甚至可能蔓延至主干道。传统宏观控制方法包括:(1)限流匝道,通过限制匝道车流来调节主干道车速;(2)可变限速,通过动态调整主干道车速来管理交通流量并减少冲突。然而,宏观控制的有效性存在局限,因其无法直接控制单个车辆。随着车联网与自动驾驶技术的发展,通过微观轨迹控制实现平稳汇入成为可能。车联网汽车(CAVs)融合了联网汽车(CVs)与自动驾驶汽车(AVs)的优势,通过车联万物(V2X)通信实时收集信息,并借助自动化技术实现精准操控。这使得CAVs能够实现基于轨迹的协同并线控制。然而,由于CAVs普及率增长缓慢且人类驾驶汽车(HDVs)仍占主导地位,纯CAV环境仍面临挑战。预计CAVs与HDVs将在交通系统中长期共存。与CAVs不同,HDVs通常难以被中央管理系统管控,且具有高度随机性和不确定性。因此,在未来长期混合交通环境中,要制定兼顾CAVs与HDVs交互作用的并线控制策略,仍是亟待解决的难题。
近年来,为应对上述挑战,学界提出了多种协同融合策略。但现有研究仍存在若干不足,可归纳为以下三点:(1)采用分层控制框架的研究通常将问题分解为调度层和规划层,但要么聚焦于完全自动驾驶的车联网环境,要么未能充分考虑混合交通环境中自动驾驶车辆(HDV)行为的不确定性(陈等,2024;孙等,2020),导致其在混合交通场景中的适用性受限。(2)现有研究多基于预设规则或逻辑确定融合顺序,既无法确保最优融合效果,也难以准确捕捉车际交互。部分研究尝试联合优化融合顺序与运动规划(谢等,2024),但由于问题本身的非线性特征,计算负担往往过重,限制了实时应用。(3)现有控制器普遍假设车队中所有跟随车辆都能调整速度与领头车同步,这种假设在纯自动驾驶环境中能有效达成共识状态。但在混合交通环境中,由于混合交通车辆(HDVs)的不确定性,这些控制器难以保证车队稳定性,可能引发安全隐患。
针对现有研究的不足,本研究提出了一种分层协作式合并控制策略,该策略能有效应对混合流车队中的HDV不确定性问题。该策略不仅具备高计算效率和强鲁棒性,还能实现实时交通环境中的快速部署。本研究的创新贡献主要体现在三个方面:
1.本文提出的控制器系统性地建模了人类跟车行为的随机性特征,这有助于自动驾驶汽车(CAVs)在混合交通环境中与人类驾驶员(HDVs)更高效地协同,从而提升区域交通效率。此外,分层结构设计显著增强了该方法的灵活性和计算效率。
2.我们在优化框架下开发并解决了并线顺序模型。相较于传统基于规则的控制方法,该模型使CAVs能够做出更合理且适应性强的并线决策。最优并线顺序仅需基于实时运动状态即可确定,便于与其他控制算法进行整合或调整。相较于现有高速公路并线方案,基于优化的模型计算复杂度更低,更适用于实时应用场景。
3.针对车队领头车与后续车辆之间的状态误差,我们设计了考虑通信延迟的共识控制器。该控制器显著提升了混合交通车队的鲁棒性和适用性。通过分析局部稳定性和弦稳定性条件,建立了选择合适增益系数的评估标准,为工程应用提供重要指导。
本文其余部分结构安排如下:第二章综述了现有研究中提出的CAV控制方法。第3节详细阐述了所提出的CAV合并控制算法的方法论。第4节介绍了为评估算法性能而进行的实验,并讨论了结果。第5节总结了研究发现,并对未来的研究提出了建议。
本研究中的自动驾驶车辆(CAVs)被定义为配备通信设备的高级别自动驾驶车辆(L4或L5级,由汽车工程师学会定义)。这类车辆可通过路边单元(RSUs)和车路通信(V2I)技术获取周边车辆信息。相比之下,传统驾驶车辆(HDVs)由于感知能力有限,只能观察到前方第一辆车的信息。研究道路场景包含多车道主干道和匝道,如图1所示。通过预设的合并点配置,所有驶入匝道的车辆必须完全进入主干道。此外,合并区车辆禁止连续变道或超车,特别是内侧车道车辆不得变道至外侧车道。当内侧车道车流密度低于外侧车道且满足安全条件时,外侧车道车辆可变道至内侧车道。如图5(b)所示,道路管理系统可增设允许从外侧车道变道至内侧车道的车道标线,同时禁止反向变道。

图1 问题设定与提出的分层合并框架
由于合并测序与运动规划之间存在非线性关系,我们将集成优化分解为分层优化框架,包含合并测序层和运动规划层。这种设计有效降低了计算成本(陈等,2024)。具体而言,中央控制器可基于运动规划模块计算的所有领航-跟随关系中预测的运动轨迹,确定全局最优的合并顺序,并将该顺序下发给各自动驾驶车辆。每个自动驾驶车辆根据该合并顺序,可识别其前车并规划运动轨迹,实现平稳高效的合并控制。本节将详细阐述该分层优化框架。
如图2所示,合并排序层的目标是找到一条满足特定约束条件、从车辆0出发且覆盖所有车辆的最低成本路径。为此,我们首先构建有向图来描述各车辆(以节点表示)之间的拓扑关系。连接两个节点的边代表车辆间的领航-跟随关系,例如节点1指向节点2即表示节点1为领航者,节点2为跟随者。我们设计了基于预测运动状态计算边成本的函数。最终,通过优化算法即可求解出最低成本路径。
首先,我们构建有向图来描述合并区所有车辆的物理网络。假设N+1辆车辆在合并区行驶,包括编号为0的车队领头车和编号为i的N辆跟随车辆(其中i∈{0,1,2,...,i,...,j,...,N},集合{0,1,2,...,N}表示车队中所有车辆的集合)。设车道索引r∈{1,2,...,R},属于车道r的车辆i可表示为i∈{r}。因此,所有车辆的集合{r}也可表示为{r}={r₁}∪{r₂}∪...∪{rₜ}∪...∪{R}。用(i,j)表示从i到其跟随者j的双车领从关系中的边。
该函数Cij用于计算每条边 (i,j) 的成本,包含两个组成部分:自相关项和成对项。其中,时间点Ci,self (t)的自相关项,由交通效率项 Ci,efficiency (t)和驾驶舒适度Ci,comfort (t)构成;而成对项 Cij,pairwise (t)则包含交通安全项Cij,safe (t),具体如公式(1)-(4)所示。
![]()


图2某排的有向图、可行序列及不可行序列
其中
。t₀表示预测时间范围。cᵢⱼ表示从t时刻到t+t₀时刻的累积成本。pᵢ、vᵢ和aᵢ分别代表车辆i的纵向位置、速度和加速度。参数β₁至β₃是反映人类驾驶风格的权重因子,这三个正数之和等于1。例如,攻击性驾驶者的权重因子β₁可能高于谨慎驾驶者,因为他们更注重交通效率。相反,谨慎驾驶者的权重因子β₂和β₃可能高于攻击性驾驶者,因为他们更关注安全性和舒适性。项Ci,efficiency(t)表示交通效率成本,当纵向速度更接近预期速度vexp时该成本会降低。项Ci,comfort(t)表示驾驶舒适性成本,当纵向加速度减小时该成本会降低。安全距离Dᵢⱼ定义为Dᵢⱼ=τᵢ*·vᵢ(t)+lⱼ,其中τᵢ*是期望车头间距,lⱼ是车辆j的长度。若纵向间距大于安全距离,则安全成本cᵢⱼ安全(t)为零;否则,cᵢⱼ安全(t)=Dᵢⱼ,safe−|pᵢ(t)−pⱼ(t)|。
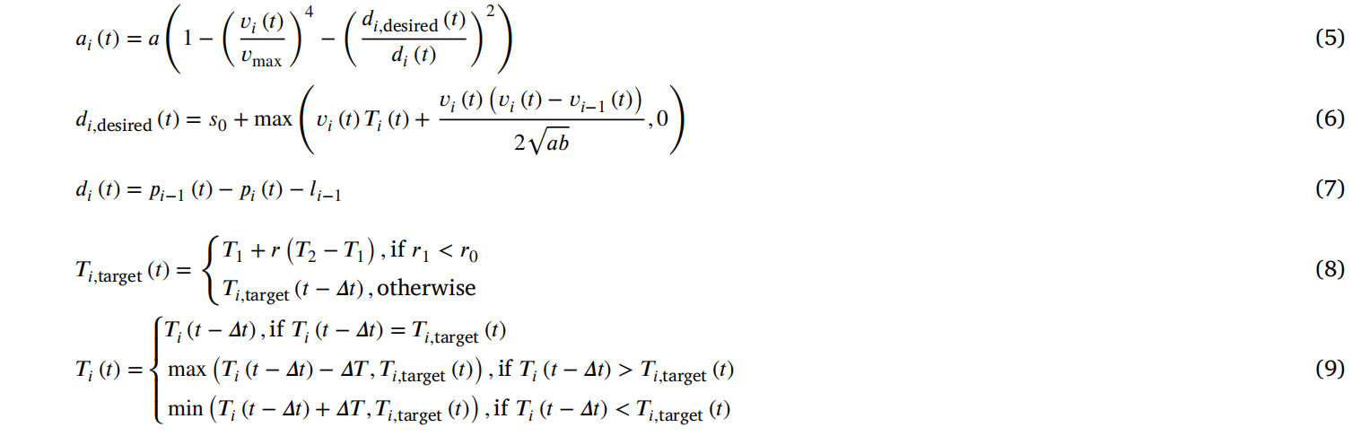
通过给定的边 (i,j) ,可以预测车辆的运动状态,从而估算出车辆加速度。对于自动驾驶车辆(CAVs),其运动轨迹可通过第3.3节提出的控制器进行计算。针对混合动力车辆(HDVs),我们引入了熊和江提出的二维智能驾驶模型(2D-IDM),该模型由公式(5)至(9)表示。与传统车辆加速度模型(IDM)不同,2D-IDM通过随机调整期望时间间隔来模拟混合动力车辆运动的不确定性。混合动力车辆的纵向加速度可按以下方式计算。

其中a表示最大加速度,b为安全减速系数。di,desired(t)是车辆i的期望间距,s0为最小间距。Ti(t)是期望时间间隔,Ti,target是目标时间间隔。r和r1是0到1之间的两个随机数。ΔT表示期望时间间隔的最大变化率,T1和T2分别为最小和最大时间间隔。r0是随机概率。这些方程描述了混合动力车运动的随机性,即目标时间间隔Ti,target会在T1到T2范围内随机变化。通过2D-IDM模型,可以通过重复模拟生成一系列可能的轨迹点。然后我们选择满足条件F(pi(t)≤pi,α(t))=1−α的α百分位轨迹。本研究进行了50次模拟运行,并设定α=0.5。
我们提出一个数学模型来优化合并序列,该模型可表示为公式(10)–(11):

其中C是表示合并序列总成本的目标函数,
是决策变量,表示是否选择边(i,j),约束条件为:


其中Nr和Ns分别表示车道r和s上最后一辆车的索引。辅助变量ui和uj用于表示序列中节点的顺序。约束条件(12)–(13)规定同一车道上的车辆不得超车,即相邻车道上前车的通过顺序必须优先于后车,如图2(a)所示。约束条件(14)要求所选路径的总和必须等于车辆总数减一,即控制区域内所有车辆的索引必须出现在最终合并序列中,如图2(b)所示。约束条件(15)–(16)规定除车道首尾车辆外,其余车辆必须具有出边或入边,如图2(c)所示。约束条件(17)–(18)规定每辆车最多只能具有一个入边或出边,如图2(d)所示。约束条件(19)是米勒等人提出的消除子巡回的路径长度最小化约束(MTZ),如图2(e)所示。约束条件(20)规定两个相交边中只能选择其一,如图2(f)所示。在方程.(21)–(24),
中。
0-1 整数规划问题的计算复杂度通常很高,因此很难直接使用精确算法进行求解。在这项研究中,MS 问题可以重新表述为具有固定起始节点的最短路径搜索,这允许使用 Dijkstra 算法进行更有效的计算(Dijkstra,1959)。为了实现这一点,我们重建成本矩阵以满足约束,将相应边的成本设置为无穷大。所提算法的计算复杂度为
,分别代表干线和入口匝道车辆的数量。
我们将这种复杂性与两种现有的解算法进行了比较:(1)动态规划(DP):Sun等人(2020)中基于DP的方法的复杂度。(2)蒙特卡洛树搜索(MCTS):Tang等人(2022)中的MCTS算法的复杂度。
为了确定我们的方法何时在计算效率上更高,必须满足以下条件:(1) 与 DP 相比:
.(2)与MCTS相比:
.
图3显示了计算结果:蓝点和红点分别表示算法优于DP和MCTS的可行区域,而蓝色和红色虚线表示其对应的边界条件。使用Han等人(2022)校准的速度-密度关系,我们还包括三条等高线,代表平均速度为15 m/s、20 m/s和25 m/s。分析表明:(1)与DP相比,当匝道车辆数量小于干线车辆数量的平方时,我们的方法在计算上具有优势,这是现实场景中通常满足的条件。(2)与MCTS相比,当车辆总数低于8辆或平均速度超过20 m/s时,我们的方法具有优势,这在自由流动条件下可能发生。
本节提出一种用于自动驾驶车辆(CAVs)的控制器,旨在调节其纵向运动并实现平稳的并线控制。本研究假设自动驾驶车辆可通过路边感知设备和车联网技术获取并线区域所有车辆的信息,而传统驾驶车辆(HDVs)仅能获取前车信息。针对传统驾驶车辆,我们采用熊和江(2022)提出的随机车跟模型——二维智能驾驶模型(2D-IDM)来模拟其纵向运动。此外,本节还对所提控制器的局部稳定性与链式稳定性进行了深入研究与分析。
假设一个由N+1辆车辆组成的车队,其中领头车编号为0,其余N辆为跟随车辆。领头车0可自由移动且不受算法控制,因此我们重点关注以下N辆跟随车辆。这些车辆的通信拓扑结构建模为有向图
表示可被合并算法控制的节点集合,
是边集,
表示加权邻接矩阵,用于表示车辆间通信关系,其中hij为边
的权重。当且仅当
时,即车辆i能接收来自车辆j的信息,此时hij =1;否则hij =0。拉普拉斯矩阵
可按
计算,其中
是单位矩阵,对角线元素为![]()
为节点i的入度定义。

图3本文提出的MS算法与另外两种现有算法的复杂度对比
车队中的每辆车辆都会调整纵向速度,以保持与前车的恒定车距。该方法在文献中广泛应用,能有效抑制干扰传播(Swaroop等人,1994年)。因此,本研究采用恒定车距策略来确定间距政策。车辆i与车队领头车0之间的车距可通过公式(25)表示。
![]()
其中
表示i与排长0之间的期望车距,而
则代表车辆j与其前车之间的车距。与排长0之间与相关的预期间距
,可通过公式(26)表示。与车队领队和i之间的通信时隙
可通过公式(26)表示,该时隙与通信时隙
相关。
![]()
其中
表示车辆i在时间t的速度,
为车辆j的长度,而
是表示相邻两车最小间距的常数。车辆j与预期位置的纵向位置偏差,以及车辆i与车队领头车的纵向速度偏差,可通过公式(27)至(28)进行表征。

其中
表示i的纵向位置,而
是i相对于0号排长位置的预期位置,可通过公式
计算得出。图4直观展示了本研究的空间策略。
设车辆i在时间t时的状态向量为
,其中
表示纵向加速度。本研究采用Yi(2001)提出的广义车辆动力学方程,如公式(29)所示,对现实中的非线性车辆动力学进行描述。
![]()
其中
表示突变量,
是设计控制策略(即控制器)产生的期望加速度,
表示加速度实现的时间滞后量,而
则代表可实现的期望加速度比例。这些参数可动态调整,以反映当前道路条件下车辆动态的不确定性。根据周等人(2020)的研究建议,我们在仿真中将参数设置为:当需要实现加速度时,将
设为1,当需要保持加速度时,将
设为0.45。

图3本研究中空间政策的示意图
图5本研究的模拟场景包括:(a)双车道汇流区和(b)多车道汇流区。
根据公式(25)至(29),状态空间系统可表述为公式(30)。
![]()
其中A为矩阵
,车队领航员的加速度
可通过车载自动驾驶车辆(CAVs)借助车联网(V2X)技术实时获取。
对于每个
,,所设计的控制器目标是使![]()
保持为零,如公式(31)所示。
![]()
在车联网环境中,自动驾驶车辆(CAV)能够获取周边车辆信息。为此,我们设计了一种去中心化共识控制器,其数学模型如公式(32)所示。
![]()
其中
为标量耦合增益,可通过
进行测量。增益向量
包含三个分量:位置偏差增益
、速度偏差增益
和加速度增益
。
在实际无线通信中存在时延现象,因此需要考虑时延对系统的影响,并通过设置合适的增益系数来抑制时延干扰。具有时延特性的共识控制器可表示为公式(33):
![]()
其中
为恒定通信延迟。
因此,具有通信延迟的状态空间系统可表示为式(34)。
![]()
定义全局状态向量
。根据公式(34),系统i的闭环动态可简化为公式(35)。
![]()
其中,
表示克罗内克积。
为
单位矩阵。
。矩阵结构中,每个元素对应N个控制单元,其中每个控制单元对应一个矩阵元素,且矩阵结构保持对称性。
本研究采用虚拟车队方法实现协同并线控制,将并线问题转化为虚拟车辆跟随问题。因此,我们主要关注纵向控制,并简化横向变道过程。横向控制建模如下:若不等式(36)–(37)中的变道条件满足,车辆将启动变道操作,并以恒定横向速度行驶直至到达目标主线车道。此外,若车辆未变道就到达并线区域末端,则必须强制并入主线车道。

该条件确保车辆从匝道驶入主路时,必须满足与前后车的间距超过预期安全距离。若条件不满足,车辆将继续调整车速,直至找到合适的并线间距。
控制器的参数需精心设定,以确保系统在所提出的控制策略下保持稳定。本节将分析系统为满足参数设定标准而需达到的稳定性条件。
局部稳定性(或内部稳定性)是指控制系统能够消除位置、速度和加速度等局部偏差的能力,这对控制系统至关重要。本研究运用李雅普诺夫-拉祖米金定理来分析系统的局部稳定性条件。首先,为后续证明做准备,引入两个定理。
定理1(李雅普诺夫-拉祖米金定理(Hale和Lunel,1993))。
![]()
定理2(共识控制的稳定性条件(Lewis等人,2014))
![]()
命题1.若满足条件(40),则在方程(33)所提出的控制策略下,闭环系统![]()
将渐近稳定。
![]()
其中
为常数且
,M表示状态变量
的取值数量。
链式稳定性意味着在车辆编队中,扰动的幅度不会通过每个领航-跟随对产生放大效应。本节中,我们参考Feng等人(2019)提出的最终链式稳定性(ESS)定义来分析链式稳定性条件。当车辆i与编队领航者0之间的输出传递函数
,
满足
时,线性系统在频域中具有链式稳定性。
命题2.若满足不等式(48)至(52),则该排将被编入ESS。


为了评估所提出控制器的性能,我们首先使用MATLAB设计了若干数值模拟实验。随后,我们利用MATLAB和城市交通模拟软件(SUMO)——一款开源微观交通模拟软件(Lopez等人,2018年)——构建了一个联合模拟平台,以分析配备所提合并控制策略的自动驾驶车辆对交通流的影响。图5展示了模拟场景:第一个场景是包含主车道和匝道的双车道合并区,第二个场景是包含匝道、内车道和外车道的多车道合并区。控制区域长度为200米。主车道车辆的初始速度为20 m/s,而匝道车辆的初始速度为15 m/s。当自动驾驶车辆进入控制区域时,将由所提合并算法进行控制,而混合动力车辆则由2D-IDM进行控制。
本文提出的算法超参数配置详见表1。权重系数β₁、β₂和β₃根据三个目标的重要性分别设定为0.25、0.25和0.5(也可调整为其他数值)。仿真时间步长εₜ和通信延迟θ分别设为0.1秒和0.05秒。期望时间间隔τ*和最小安全距离Dmin统一设定为2.5秒和5米。两个动态参数Tᵢ,L和Kᵢ,L取值为0.45和0.1(周等人,2020)。为确保算法稳定性,需谨慎设置增益因子。因此,我们计算了同时满足局部稳定性和弦稳定性条件的增益因子kp、kv、ka的可行区域,如图6所示。最终从该可行区域内选取了最佳参数组合(kp=0.31,kv=1.48,ka=-0.64)以实现最优性能。

图6 不同超参数下三个增益因子的可行区域

我们设计了多项实验来评估所提控制器的自适应性能,重点考察其(1)有效性与(2)抗干扰性能。
一款高性能控制器需能适应不同驾驶场景,使车辆能根据预设的汇流顺序快速稳定地完成转向操作。为验证该控制器的性能,我们设计了包含双车场景和多车场景的两项实验。
(1)双车案例
在本实验中,我们在合流区设置了两辆车:一辆保持预设速度的背景主线车和一辆由算法控制的匝道车。实验结果如图7所示。图7(a)中,匝道车位于主线车前方,位置误差约为-40。观察发现,匝道车在约0.2秒内减速让行,使主线车先行通过。图7(b)显示,当匝道车位于主线车后方时,它主动让行并持续跟踪。实验结果表明,所提出的控制器能使自动驾驶车辆(CAVs)基于周围环境快速执行合理的机动操作。

图7 两车场景下所提控制器的效能对比:(a)超车场景,(b)车辆跟随场景
(2)多车案例
在本实验中,车队领头车的速度设定为20 m/s,车队规模设定为15。后续车辆将使用所提出的控制器调整速度。如图8所示,我们记录了不同CAV渗透率场景下车队中各车辆的偏差、位置、速度和加速度。结果显示,在0% CAV渗透率的情况下,达到稳定所需时间约为1秒;而在100% CAV渗透率的情况下,该时间约为0.5秒。此外,随着CAV渗透率的增加,各车辆的最大控制输入显著降低。结果表明,所提出的控制器能够高效稳定车队,且其性能可通过提高CAV渗透率得到进一步提升。
如前所述,现有控制器普遍假设车队领头车速度恒定,这种假设既不现实又缺乏抗干扰能力。此外,这类控制器在混合交通环境中表现欠佳,因为领头车可能突然改变速度。为此,本研究设计了一种考虑领头车时变速度的控制器,以提升混合交通车队的抗干扰能力。
本节通过实验验证所提控制器的抗干扰性能。仿真中,领头车加速度设定为时间的正弦函数,变化范围在-2 m/s²至2 m/s²之间,车队规模设为15辆。如图9所示,我们记录了不同自动驾驶汽车渗透率下车队各车辆的偏差、位置、速度及加速度数据。结果显示:当自动驾驶汽车渗透率为0% 时,速度和加速度均存在滞后现象;随着渗透率提升,滞后现象逐渐减小;同时领头车速度波动也逐步减弱。实验表明,通过提升配备该控制器的自动驾驶汽车渗透率,可有效增强车队的抗干扰性能和鲁棒性。
本节通过SUMO软件模拟搭载所提合并控制策略的自动驾驶车辆对交通流的影响。交通流模拟采用两种场景:双车道合并区和多车道合并区。每个场景的交通需求设定为两种水平:每车道900辆/小时(vph)和1200辆/小时。自动驾驶车辆渗透率分别设为0%、25%、50%、75%和100%。模拟持续120秒,结果包含合并区内所有车辆的行驶轨迹,以及该区域所有车辆的平均速度、加速度、延误时间和通行量。
在每次仿真中,我们对两种合并序列策略进行交叉验证:(1)先到先得(FCFS)规则和(2)提出的合并序列(MS)算法,同时测试两种车跟车控制器:(1)周等人(2020)提出的控制器(简称CF)和(2)提出的共识控制器(CC)。通过将FCFS和MS算法与CF、CC控制器相结合,我们构建了四种控制策略:FCFS+CF、FCFS+CC、MS+CF和MS+CC,并对其性能进行评估。此外,我们还将所提算法与现有研究中的控制器进行对比,以进一步验证其有效性。

图8 在不同自动驾驶汽车(CAV)渗透率条件下,十五辆自动驾驶汽车编队中各车辆的偏差、位置、速度及加速度变化(其中编队领头车速度保持恒定)

图9十五辆自动驾驶车辆编队在不同渗透率下的行驶状态,包括各车的偏差、位置、速度及加速度变化(含编队领头车速度随时间变化的典型场景)

图10在双车道汇流区,四控制器车辆在不同渗透率(需求量为每车道900辆/小时)下的行驶轨迹
(1)需求量=每车道900辆/小时。
图10展示了四种控制算法在每车道900辆/小时需求量下的行驶轨迹。蓝色实线表示主线车辆,粉色虚线表示匝道车辆。基于FCFS的算法仅根据车辆到达时间确定汇入顺序,这种设定不够现实,可能导致交通波动。相比之下,我们提出的基于MS的算法能根据实时车辆状态动态计算最优汇入顺序,更贴近真实驾驶行为。此外,新研发的CC控制器相比CF控制器能更有效地稳定交通流。
图11展示了在不同CAV渗透率下,当车道需求为900辆/小时时,合并区的平均速度、加速度、延迟和吞吐量。如图所示,所提出的MS+CC算法带来了更高的交通效率,平均速度约为24 m/s,同时保持了相对较低的加速度(不超过1.1 m/s2)。该算法的平均延迟为0.26秒,低于其他三种控制器。此外,最大吞吐量达到每车道896辆/小时,接近交通需求。这些结果表明:(1)MS算法生成的合并序列比FCFS方法更高效;(2)所提出的CC控制器显著提高了交通效率,并有助于流量稳定性。
(2)需求量=1200辆/小时
车道图12展示了在1200辆/小时/车道交通需求下,合并区的行驶轨迹。与其它算法相比,基于MS+CC的合并轨迹更加平顺稳定。随着自动驾驶汽车渗透率的提升,交通波动现象也逐渐减弱。图13呈现了在不同自动驾驶汽车渗透率和1200辆/小时/车道需求下的平均速度、加速度、延误时间和通行效率。与900辆/小时的车道场景类似,提出的MS+CC算法在保持较低加速度水平的同时,相比其他算法展现出更高的交通效率。此外,与另外三种控制器相比,该方案的平均延误时间更短,通行效率更高。这些结果表明,所提出的算法能够有效应对高交通需求,促进自动驾驶汽车与传统车辆之间的高效协作。

图11 两车道汇流区四控制器在不同渗透率下的平均速度、加速度、延误及吞吐量
(需求量=900辆/小时/车道)

图12.不同渗透率下双车道汇流区四控制器车辆行驶轨迹(单车道需求量=1200辆/小时)

图13.两车道汇流区四控制器在不同渗透率下的平均速度、加速度、延误及吞吐量
(需求量=1200辆/小时/车道)
(1)900辆/小时/车道
图14展示了在不同渗透率和900辆/小时/车道交通需求下,多车道汇流区车辆的行驶轨迹。蓝色实线表示内线主车道车辆,蓝色虚线表示外线主车道车辆,粉色虚线表示匝道车辆。图15展示了不同渗透率下多车道汇流区的平均速度、加速度、延误时间和通行量。
(2)1200辆/小时/车道
图16展示了在不同渗透率和1200辆/小时/车道交通需求下,多车道汇流区车辆的行驶轨迹。图17展示了该场景下的平均速度、加速度、延误时间和通行量。实验结果与前期研究一致,表明所提出的算法即使在高交通需求下仍能保持较高的交通效率和稳定性。
我们设计了一个实验,将提出的合并算法与Zhou和Ahn(2019)、Sun等人(2020)以及Han等人(2023)提出的其他控制器的性能进行比较。结果如图18所示。观察发现,在每车道900英里/小时的需求下,所提出的算法在保持相对较低加速度的同时,实现了最高速度(100%渗透率时为24.22 m/s)。在每车道1200英里/小时的需求下,交通效率仍保持最高(100%渗透率时为24.11 m/s)。此外,所提出的算法在所有场景中均具有最低的平均延迟和最高的吞吐量。结果表明,所提出的算法在交通效率和驾驶舒适性方面均优于其他模型,尤其是在更高的自动驾驶汽车渗透率下表现尤为突出。
为评估所提算法在不同真实HDV驾驶行为下的鲁棒性,我们采用四种现有模型在不同背景HDV交通流条件下进行实验:(1)IDM模型(Milanes和Shladover,2014)、(2)2D-IDM模型(Xiong等,2022)、(3)Krauss模型(Krauss等,1997)以及(4)通用汽车(GM)模型(Gazis等,1961)。实验结果表明,该算法在所有场景中均能保持高交通效率和驾驶舒适性,充分证明其对不同真实HDV行为的鲁棒性。(参见图19)
本研究提出了一种适用于混合交通环境(包含自动驾驶车辆和传统车辆)的分层协作式车辆汇入控制策略。该策略包含两个层级:汇入顺序控制层和运动规划层。在序列规划层,我们开发了一种综合考虑交通效率、安全性和驾驶舒适性的评估函数,用于计算每对领航-跟随车辆对的成本。随后将合并序列问题重新表述为最短路径搜索问题,并通过迪杰斯特拉算法求解全局最优序列,从而显著降低计算负担。在运动规划层,我们提出了一种具有通信延迟的共识控制器,利用车队领航车与所有跟随车辆之间的状态误差信息来规划自动驾驶车辆的运动轨迹。理论分析了该共识控制器的局部稳定性和链式稳定性,并基于这些定义推导出稳定性条件以提供参数设置准则。为评估所提合并框架的性能,我们通过多项实验研究了自动驾驶车辆在双车道及多车道合并区域对交通流的影响。实验结果表明:(1)所提策略能提供更高效的合并序列,减少潜在冲突并实现更平稳的自动驾驶车辆合并;(2)所提共识控制器可提升混合交通车队的抗干扰性能、鲁棒性、稳定性、交通效率及驾驶舒适性。不过本研究在以下方面仍有改进空间:当前合并序列算法中部分参数仍采用经验性设定。未来,可通过真实世界数据集对参数进行校准,以更准确地反映人类驾驶行为特征。当前提出的控制器仅考虑恒定通信延迟,而现实场景中的延迟往往具有时变特性。后续研究还应深入探讨该控制器在实际应用中的性能表现。

图14展示了四控制器车辆在多车道汇流区不同渗透率(需求量为每车道900辆/小时)下的行驶轨迹

图15.多车道汇流区四控制器在不同渗透率下的平均速度、加速度、延误及吞吐量
(需求量=900辆/小时/车道)

图16.不同渗透率下四控制器车辆在多车道汇流区的行驶轨迹(需求量=1200辆/小时/车道)

图17展示了多车道汇流区配置四个控制器时,不同渗透率(需求量=1200辆/小时/车道)下的平均速度、加速度、延误及吞吐量

图18 与其他三种控制器的对比

图19展示了四种HDV模型在不同渗透率下的平均速度、加速度、延迟及吞吐量表现
附录A
(1)双车道场景仿真结果:见表2。
(2)多车道场景仿真结果:见表3。
(3)不同算法仿真结果:见表4。
(4)四种背景HDV模型仿真结果:见表5。



