时变需求下综合客运枢纽集群对外交通网络韧性评估方法
作者:杨 扬,陈君婷,姚恩建,刘冬梅
论文期刊:交通运输工程学报
论文网页:https://transport.chd.edu.cn/cn/article/doi/10.19818/j.cnki.1671-1637.2026.148
关键词:交通网络;综合客运枢纽集群;韧性评估;客流需求;多模式交通流分配;京津冀城市群
为科学评估综合枢纽集群的对外交通网络韧性,提出了行程韧性测度指标,覆盖了鲁棒性、冗余性、恢复性 3 个维度;运用多模式交通网络客流分配方法刻画了不同的节点攻击和恢复策略的影响结果,构建了行程韧性测度方法;以京津冀城市群内综合客运枢纽集群为例,开展实例验证。研究结果表明:京津冀城市群与上海、广州、成都等典型城市群核心城市之间的对外综合交通网络已基本成型,整体表现出较强的抗干扰与恢复能力,在不同扰动场景下单位行程韧性普遍高于 0.95;以 10 月 7 日(国庆节)单节点恢复时长 1h 为例,节点强度恢复策略的网络恢复效果最优,网络韧性达 0.9902,受影响人数仅 1402 人次,显著优于其他策略;早间时段因网络负荷大、班次冗余度低,导致韧性下降至 0.9761,低于午间、晚间;大部分情况下,网络韧性随着单节点恢复时长的增加而递减,受影响人数也随之增多;从不同日期来看,韧性受客流分布离散程度和网络冗余度共同影响,按 TOPSIS 方法排序,国庆韧性最高为 0.9832,周末韧性最低为 0.9746。提出的韧性评估方法可为分析枢纽间铁路、民航和城市交通等多模式交通网络的潜在运输能力,合理配置交通应急处置资源等提供科学依据。
近年来,旅客出行需求持续增长叠加极端天气频发,节假日运输压力攀升、运输线路故障等非常规情景频发,易引发综合客运枢纽运输服务中断,甚至造成区域对外交通系统瘫痪,带来显著的社会经济损失,因此综合客运枢纽集群对外交通网络的韧性评估与提升成为交通领域的重要研究课题。
交通韧性研究目前多聚焦于城市道路、轨道交通、航空、航运等单一运输方式网络,部分多模式交通网络韧性研究也以城市群内部交通为对象,鲜有将综合客运枢纽集群作为功能整体,评估其城市群对外交通功能韧性的相关研究。同时,现有交通韧性评估仍存在明显不足:评估指标以静态网络拓扑指标为主,忽视了客流需求的时空动态特性;多维韧性指标的集成多采用加权求和方式,主观性较强,难以客观反映多维韧性的均衡性,难以适配综合客运枢纽集群对外交通的多模式、时变需求特征。
在此背景下,开展时变需求下综合客运枢纽集群对外交通网络韧性评估研究,构建科学的韧性测度指标与方法,能够有效识别枢纽集群多模式交通网络的薄弱环节,精准分析枢纽间铁路、民航、城市交通等多模式网络的潜在运输能力。研究成果可为交通应急资源的合理配置、枢纽集群应急处置策略的优化、枢纽群协同运行水平的提升提供科学依据,对增强城市群对外交通系统的抗干扰与恢复能力、保障区域交通系统稳定运行具有重要的理论价值与实践意义。
城市群综合客运枢纽集群对外交通网络是指连接典型城市群之间核心枢纽城市的多模式交通走廊,由跨区域多模式(如高铁、航空等)交通网络和城市群内多模式(如出租车、公交、地铁等)交通网络构成。研究先综合城市与城际交通系统,提取形成涵盖高铁、民航、道路等多模式交通网络的综合客运枢纽集群对外交通网络;再考虑网络鲁棒性、冗余性、恢复性等,构建综合交通网络视角下的韧性评估指标模型;接着提出基于关键节点的节点攻击和恢复策略,生成多种扰动场景,根据多模式综合交通网络客流分配计算流量变化,进行不同扰动场景下的网络韧性对比分析;最后,以京津冀为例,开展城市群内综合客运枢纽集群对外交通网络韧性评估。研究框架如图1所示。

图1:研究框架
城际客运中铁路和民航占主导,重点考虑铁路(含高铁、普铁、特快等)和民航 2 种交通方式,根据列车和民航时刻表信息,构建多模式交通时空网络图 G=(V,E),其中节点 v∈V 表示交通枢纽(含铁路枢纽、民航枢纽和各城市的出发或到达虚拟节点),边 e∈E 表示不同类型的连边(含接入边、接出边、乘车边、换乘边等),具体含义和对应交通方式如表1所示。每条边都含有属性集,如表2所示,网络连接示意如图2所示。
表1 网络连边类型

表2 连边的属性


图2 网络连接示意
本文基于动态模式添加虚拟接驳边,从每个时间窗开始,动态生成从起点城市中央商务区(CBD)前往其各个枢纽的接入边,为避免搜索出重复路径,每个时间窗针对每个枢纽只生成一条接入边;当搜索至终点城市而非终点节点时,自动触发接出边生成机制,假设接驳边的容量无限,时间和价格根据高德地图获取。
交通系统绩效随时间变化,融合鲁棒性、冗余性和恢复性 3 个维度,提出枢纽集群对外出行交通网络的行程韧性指标,突出时变客流需求与出行成本在多模式交通网络中的相互作用,为韧性评估提供量化基础。
鲁棒性描述系统在扰动事件下维持基础功能的能力。本文将鲁棒性定义为起终点 (Origin-destination,OD) 间同一时段灾后交通流量与灾前交通流量的比值。当扰动事件使部分线路中断时,节点之间的连线会断开。这样会导致原本计划在某个时段该路径出行的乘客不得不选择其他路径,若其他路径出行成本大大提高至远超预算或者不符合其出行预期时,乘客会取消此次出行。计算公式表示为
![]()
式中:Lij 为 OD 对起点 i 和终点 j 之间的鲁棒性;fij,+(t) 为灾后 t 时段的交通流量;fij,−(t) 为灾前 t 时段的交通流量。
Lij 取值范围在 0~1,应用范围为 OD 对之间 (如北京至上海),非具体枢纽之间。Lij =1 表示灾前灾后的交通流量不变,所有出行需求都能被满足;Lij = 0 表示灾后所有出行均被取消。若 Lij = 0.7 意味着有 30% 的出行被取消,70% 的出行需求能被满足,可能使用与灾前相同的路径出行,也可能使用别的替代路径出行。
冗余性作为交通系统韧性的核心维度之一,原指系统在部分组件失效时,仍能通过替代路径或冗余资源维持基本功能的能力。在交通网络层面,冗余性反映了灾后路径选择的灵活性与出行效率的维持程度。本文将冗余性定义为灾后行程分配对出行阻抗的影响,具体表示为每个时段 OD 对灾前与灾后的人均出行成本之比。
出行成本综合考虑了出行时间、出行费用和换乘惩罚,计算公式为
![]()
式中:Cij为节点 i、j 之间的综合出行成本;θ 为出行时间价值系数;tij为节点 i、j 之间的实际出行时间;uij 为节点 i、j 之间的实际出行费用;τij为节点 i、j 之间的实际换乘次数;λ 为每次换乘的惩罚成本。
则 OD 对起点 i 和终点 j 之间的冗余性 Yij 为
![]()
式中:cij,−(t) 为灾前 t 时段的人均出行成本;cij,+(t) 为灾后 t 时段实际出行人数 (不包括取消行程) 的人均出行成本。
若 Yij 为 0.5,则表示灾后该时段实际出行的人均出行成本较灾前增加了1倍;若 Yij 为 1,则表示灾后该时段人均出行成本和灾前相同;若Yij 大于 1,表示灾后该时段人均出行成本比灾前小,意味着灾后继续出行的乘客不仅能选择其他路线出行,且部分路线在综合成本上还要低于原路线。
本文将可靠性定义为在扰动下出行需求能被满足且不显著增加出行成本的概率表征,表示系统在扰动下仍能维持有效服务的综合能力。它既考虑了能否出行 (鲁棒性),也考虑了出行成本是否可接受 (冗余性)。因而灾后可靠性会降低的原因,部分来自鲁棒性的降低,即部分出行需求得不到满足而导致出行被取消;还有部分来自冗余性的降低,由于扰动事件使得一些路径被中断,受影响的乘客会选择其他路径或者取消行程,导致扰动事件后所有出行的乘客 (不受影响的和受影响但出行的乘客,排除取消行程的乘客) 的综合成本增加或减少。因此,将鲁棒性和冗余性结合为可靠性 Rij,并分成 2 个阶段进行评估。首先,计算鲁棒性,再去除鲁棒性中冗余的成分,计算公式为
![]()
可靠性简化为鲁棒性和冗余性的乘积,是量纲 1 变纲的,随恢复时间变化而变化。
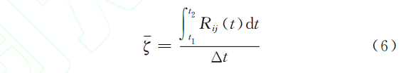
整体而言,行程韧性的计算分为 2 个步骤。首先,分别计算鲁棒性和冗余性,并将二者结合为可靠性;其次,以恢复时间来表征交通网络的恢复性,通过可靠性在恢复时间上进行积分,即可靠性曲线下的面积,最终得到行程韧性。计算公式为
![]()
式中:
为整个恢复期的行程韧性;t1、t2分别为整个恢复期的开始和结束时间。
由于 ζ 理论上是没有上限的,为了便于对比分析,需要进行归一化,计算公式表示为

式中:
为单位时间下的行程韧性;Δt 为整个恢复期的时长。
ζ 反映系统在整个恢复期内累积的韧性表现,而
则反映单位时间内的平均韧性水平,便于不同恢复策略间的横向比较。
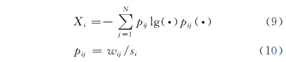
韧性评估通常包括以下关键步骤:一是识别网络中的关键节点,二是在此基础上设计模拟攻击与恢复策略,三是对比分析策略实施前后交通流量的变化,从而实现对网络韧性的有效测度。为此,本节首先开展关键节点的识别,它是韧性测度的基础。节点的失效不仅会影响在该节点出发或到达的乘客,也会影响通过该节点的出行路径上的乘客。节点重要性、节点可恢复性是枢纽群综合交通网络关键节点识别的主要因素。在有向加权网络中,节点重要性用节点强度、加权节点介数中心性评估,节点可恢复性用香农熵评估。
在有向加权网络中,节点强度能结合节点度和边权两方面的特征,在一定程度上反映了站点在枢纽群中的重要性和地位。与节点相连的交通网络边数越多,通过的交通流量越大,意味着该节点强度越大,其在城市中的地位越高。节点 i 的强度 si 为
![]()
式中:aij 为节点 i、j 之间的连边数;wij 为节点 i、j 之间的边权;N 为网络中节点数。
一个节点的重要性不仅与通过的最短路径数有关,还应与经过该节点的客流量大小有关。加权节点介数中心性在拓扑网络的基础上考虑客流因素,定义为通过该节点的最短路径的权重之和占所有最短路径权重之和的比例,表示为
![]()
式中:Bi 为节点 i 的加权介数中心性;Wjz,i,q 为节点对 jz 间经过节点 i 第 q 条最短路径的权重之和;Wjz+k 为节点对 jz 间第 k 条最短路径的权重之和;ρjz,i 为节点对 jz 间通过节点 i 的最短路径数量;ρjz 为节点对 jz 间的所有最短路径数量。
在外部扰动事件的影响下,节点能够最大限度地保持原有的连接状态,体现了网络节点多样性特征,进一步体现了其可恢复性。香农熵的本质是衡量系统状态的不确定性或多样性,熵值越高,代表节点恢复的可选路径越丰富,恢复过程的不确定性越低,可恢复性越强。本文利用香农熵对节点可恢复性进行测度,香农熵反映了节点在不确定扰动下传输的平均信息量,传递信息量的大小与不确定性有直接关系。在网络中,节点可恢复性特征受到节点强度的影响,表示

式中:Xi为节点 i 的香农熵值;pij 为节点 i,j 间边权 wij 占强度 si 的比例。
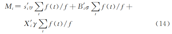
为了更加科学合理地比较网络中各节点之间的相对重要性和可恢复性,需要对节点强度、加权节点介数中心性、香农 3 个指标分别进行归一化并加权得出综合评分。计算公式如下


式中:si′、Bi′、Xi′ 分别为节点 i 的归一化节点强度、归一化加权介数中心性和归一化香农熵值;Mi 为节点 i 的综合评分;
分别为 3 个指标的权重;f(t) 为 l 时段网络的交通流量;f 为全天网络的交通流量。
面向综合客运枢纽集群多模式对外交通网络,构建了基于 K 最短路径搜索与容量约束的多时段交通分配模型,用以模拟综合交通网络在常态与扰动事件下的客流分布。
本节采用一种改进的 K 最短路径算法,综合考虑时间成本、价格成本、换乘约束及动态接驳需求,为后续交通分配提供多路径选择方案。路径搜索的算法核心流程如下。
步骤 1:基于 Dijkstra 算法改进的最短路径搜索,具体有以下改进。(1) 多目标成本函数:综合成本考虑了出行时间、出行费用和换乘惩罚,实现多目标优化,计算公式如第 3.2 节所示。(2) 换乘次数和时间约束:最大换乘次数设为 2 次,高铁安检时间最低设为 20min,机场安检时间最低设为 60 min。
步骤 2:基于改进 Yen's 算法的 K 最短路径生成。首先,使用步骤 1 的最短路径搜索算法获取初始最短路径;其次,主循环寻找剩余 K−1 条路径。由于综合交通网络的特殊性,有以下改进。(1) 动态禁止边机制:在生成偏移路径时,通过构建禁止边集合,禁止使用原路径中从偏移点出发的边,避免生成与已有路径相同的路径。(2) 路径多级去重机制:首先,确保正在搜索的路径与已有路径站点和车次序列不完全一致,才允许加入候选集;其次,更精细化查看其车次是否只有换乘边不同,若是,不允许加入结果集。(3) 时间连续性约束:路径中的每个路段必须满足后一段的出发时间大于等于前一段的到达时间,确保生成的路径符合实际出行逻辑。
在多路径交通分配中,采用全有全无 - 容量限制分配算法,并结合时间窗口扩展机制与车次容量共享策略,实现多模式组合交通网络的客流分配。具体算法流程如下
步骤初始化:初始化车次容量从原始网络数据加载各车次在不同时间段的真实初始容量;初始化需求量将时间维度离散化为间隔的时间窗在每个时间窗内加载对应时段出发的需求矩阵。
步骤路径分配:假设乘客完全理性基于路径的综合成本排序严格遵循低成本路径优先分配的原则并计算路径瓶颈容量作为上限进行分配。
步骤动态调整:按时间窗口依次分配若当前窗口无法满足需求时自动向后滑动时间窗口直至分配完当前窗口的所有需求后再启动下一时间窗的分配;每条路径分配流量后立即更新车次剩余容量并同步更新路径可分配容量。
步骤结果输出:保存路径分配的完整信息数据包括原始需求时间窗口实际分配时间窗口出发城市到达城市总需求分配人数总时长总价格换乘次数综合成本路径详情等字段。
假设乘客在城际出行时均是提前订票不会轻易改变行程因此节点攻击只会影响出发或者到达时间在该站点处于被攻击时段内的乘客假设乘客均在行程出发前得知节点被攻击则其可以选择重新规划出行路线因此节点攻击后的客流再分配主要是针对受影响的客流进行再分配具体步骤如下
步骤 1:根据常态化客流分配结果对分配客流的路径进行拆分拆分成带有客流的单个路段根据原始网络路段数据进行匹配更新网络路段剩余流量形成分配新网络。
步骤 2:根据节点攻击的攻击时段和恢复时段识别有哪些路径的被攻击节点处于被攻击时段进而识别出受影响的客流和不受影响的客流。
步骤 3:根据步骤生成的新网络以及步骤识别的受影响客流进行 K 最短路径搜索。
步骤 4:进行客流再分配第 1 轮优先分配该时段下剩余客流至搜索路径若有余量再进行第 2 轮分配将剩余客流延迟分配至有空余容量的时段上若所有搜索的路径都已分配结束但仍有余量则默认为该部分客流取消行程。
京津冀位于东北亚中国地区环渤海心脏地带,是中国北方经济规模最大最具活力的地区之一,本文以京津冀城市群为研究对象,重点分析其综合客运枢纽集群对外交通网络的韧性与提升策略。由于,《国家综合立体交通网规划纲》要提到的主骨架布局包含6条主轴,其中与京津冀连接的有长三角、粤港澳、成渝城市群,综合考虑国家战略定位、空间代表性、运输方式主导性和经济联系度,选择上海、广州、成都作为京津冀城市群对外交通的3个目标城市,研究范围界定为京津冀枢纽群与上海、广州、成都三大城市群核心城市的对外交通网络。
本文围绕高铁站和机场2类枢纽(如图3所示),考虑京津冀核心城市(北京、天津和石家庄)与其他城市群核心城市(上海、广州和成都)间的出行需求,构建基于时刻表的综合客运枢纽集群多模式交通网络,各核心城市涉及的枢纽站点如表3所示。通过铁路12306和携程获取铁路和民航的时刻表数据,并通过联通DaaS平台中的手机信令数据获取2024年10月7日国庆返程的北京、天津、石家庄3个城市至上海、广州、成都3个城市的双向客流流量(如图4所示),包含铁路直达、民航直达包括经停、铁路转铁路、铁路转民航、民航转铁路等交通方式。
表3 城市群核心城市枢纽清单



图3 京津冀综合客运枢纽集群交通网络 图4 京津冀与典型城市间日双向客流流量
为分析交通客流的时间分布特征,本研究将全日出行时间范围界定为 6:00~22:00。为平滑数据且便于分析,以 30min 为间隔对出发时间进行聚合,即将每个时间窗内所有出行者的出发时间归并至该时间窗的中点时刻(如 6:00~6:30 出发的乘客,其出发时间统一记为 6:15)以代表该时段。
针对参数设置,为了剔除常态波动对指标的干扰,已分别选取 3 个工作日和 3 个周末的客流数据,计算比较 3 天平均绝对百分比误差(Mean Absolute Percentage Error,MAPE)的平均值。最后将国庆节的时间价值系数和换乘惩罚系数分别设置为1.6元/min和350元/次,工作日和周末的时间价值系数和换乘惩罚系数均设置为0.6元/min和100元/次。
针对容量设置,民航容量设置为 100% 客座数,中转容量不限,高铁容量根据不同的出行日作区分,国庆节、工作日、周末分别设置为车次容量的 40%、60% 和 50%(包含 20% 的无座数量)。设置最大中转次数为 2 次,限制中转城市为北京、天津和石家庄。根据第 4.2 节的算法步骤,常态下 3 日客流分配结果如图 5 和表 4 所示。

图5 常态下3日分时段客流分布
图5中可知,国庆节、工作日及周末 3 天客流的时间分布特征具有一致性,均呈现 “早间急剧上升-日间波动维持-夜间快速下降”的三段式变化规律。在客流上升阶段(6:15~7:15 时段),3 个时段的客流量均呈急剧上升趋势,从约 200 人次上升至约 1500 人次。在客流稳定阶段(7:15~21:15 时段),客流量进入持续波动状态,其中国庆节期间客流在 1800 人次上下波动,工作日与周末客流则在 1300 人次上下波动。在客流下降阶段(21:15~21:45 时段),3 个时段的客流量均呈快速下降态势,回落至低水平区间。整体来看,国庆节期间客流量处于最高水平,工作日与周末的客流量规模相近,二者均低于国庆时段的客流总量。
表4 常态下3日分时段客流数据和人均成本

在枢纽群对外城际出行网络的研究中,枢纽节点的重要性和可恢复性评估是优化跨区域交通资源配置、提升网络韧性及制定协同运输策略的核心环节。本文的韧性评估视角是京津冀内部枢纽失效对其对外服务能力的影响,因此需要识别京津冀枢纽群的关键节点。
为了更客观地识别关键节点,根据第 4.2 节的计算方法,首先计算出常态下分配网络中各节点的节点强度、加权节点介数中心性和香农值;再将 3 个指标标准化,赋予不同权重组合,如 {1/3,1/3,1/3}、{0.5,0.3,0.2}、{0.2,0.5,0.3}、{0.2,0.3,0.5};再新增逼近理想解排序法 (Technique for Order Preference by Similarity to Ideal Solution,TOPSIS),如表 5 所示。分别对每一权重组合下的综合评分和 TOPSIS 值进行排序,结果显示排在前 5 次数最多的 5 个站点分别是石家庄站、首都国际机场、北京西站、天津站和滨海国际机场,因此将其作为节点攻击对象进行扰动场景模拟。
表5 10 月7 日(国庆节)京津冀枢纽节点标准化指标值和权重评分

为分析不同节点攻击模式和恢复策略对枢纽群对外综合交通网络产生的影响,本文通过设置不同的恢复顺序、攻击时刻、单节点恢复时长和攻击日期,生成不同的扰动场景,如表 6 所示。假设所有场景均在攻击时刻同时攻击 5 个节点,节点被攻击即为失效节点,并在受到攻击后根据单节点恢复时长和恢复顺序进行依次恢复。
表6 扰动场景模拟

根据上述模拟场景,计算不同扰动场景下的单位时间网络韧性和受影响人数,如表 7 所示。从网络韧性结果看出,所有场景的网络韧性都达到了 0.95 以上,已初步印证了目前京津冀城市群与上海、广州、成都核心城市之间的对外多模式出行交通网络格局已基本成型。下面根据不同的扰动因素对网络韧性产生的影响进行深入分析。
表7 不同扰动场景下的网络韧性和受影响人数

控制节点攻击日均为 10 月 7 日 (国庆节),攻击时刻均为 8:30,单节点恢复时长均为 1.0h,对不同的节点恢复顺序进行网络韧性评估,不同场景下的可靠性水平值变化曲线如图 6 所示。
由图 6 可知,5 种恢复顺序下的可靠性水平变化曲线走势大致相同,均在 6:15~6:45 时段有小幅的上升,在 6:45~7:45 出现急剧下降,之后在 8:15~8:45 出现大幅上升,最后曲线逐渐平缓。结合表 7 来看,按节点强度恢复顺序的单位网络韧性最高 (以 10 月 7 日国庆节单节点恢复时长 1.0 h 为例),达到 0.9902,受影响人数最少,为 1402 人次;而按加权介数恢复顺序的单位网络韧性最低,仅有 0.9761,且受影响人数最多,是按节点强度恢复受影响人数的 3.6 倍;从恢复速度来看,按节点强度和香农熵值恢复的速度最快,10:45 则恢复到了网络初始水平,而按加权介数、TOPSIS 值和随机顺序恢复的场景,到 12:15 才恢复至初始水平。表明按合理安排失效节点恢复顺序可以显著减少受影响人群数量,提高网络的整体抗干扰能力,以及快速恢复至正常水平的能力。

图6 不同恢复顺序扰动场景的可靠性曲线
控制节点攻击日均为 10 月 7 日 (国庆节),单节点恢复时长均为 1.0h,选取早间 (8:30~13:30)、午间 (12:30~17:30) 和晚间 (16:30~21:30) 3 个攻击时段,分析不同恢复顺序下攻击时段对网络韧性的影响。当攻击时段为早间时,从 8:30 开始同时攻击 5 个节点,之后每小时恢复 1 个,则 13:30 恢复完成,因而攻击持续时长累计为 5.0h,结果如图 7 所示。由图 7 可知,除按香农熵恢复顺序下的曲线先上升后下降之外,其余 3 种恢复顺序下的曲线都是呈现逐渐上升的趋势,表明大部分情况下晚间韧性最高,午间次之,相较之下早间时段韧性最低。以按加权介数恢复顺序为例,早、午、晚间的单位网络韧性分别为 0.9761、0.9896 和 0.9935,受影响人次分别为 5008、6194、5776。
大部分情况下,单位时间网络韧性呈现晚间最大,早间最小的规律,是客流特征、交通班次冗余度、网络运行节奏及民航主导的运力结构共同作用的结果。根据第 3.2.2 节常态下客流分配计算方法,可得国庆当天的民航直达 28790 人次,高铁直达 17436 人次,因此网络韧性更依赖于民航班次的分布与恢复能力。
对比不同攻击时段民航和高铁班次与不同时段出行人数 (表 8),可知:早间时段虽出行人次 (16052) 处于返程启动阶段、总班次 (673) 为时段最高,但客流集中且班次处于刚需满载状态,节点攻击发生在网络负荷快速上升期,故障冲击更集中、班次冗余度低,网络抗干扰能力被压缩,因此单位时间韧性最低。午间出行人次 (16662) 处于客流高位,这时攻击节点不仅会影响午间时段出行的旅客,还会影响 12:30 之前出行的旅客;而民航班次 (151) 仅比早间 (155) 少 4 班,但午间是返程客流高位延续期,前期早间时段的集中客流已被部分疏解,民航班次的实际载客率有所下降,节点故障后可通过调整民航剩余班次的载客量分散压力,网络抗干扰能力自然比早间时段更强。晚间出行人次 (14797) 进入返程收尾阶段,民航班次 (165) 为时段最高,且民航直达客流已逐步分散,班次冗余度显著提升,节点攻击发生在网络负荷缓慢下降期的影响可通过民航剩余班次缓冲分散,另外夜间有更多夕发朝至的普速列车,使民航主导的运力网络抗干扰能力更强,因此单位时间韧性最高。

图7 不同攻击时段扰动场景的单位时间网络韧性
表8 不同攻击时段的民航和高铁班次及出行人次

控制节点攻击日均为 10 月 7 日 (国庆节),攻击时刻均为 8:30,选取单节点恢复时长分别为 0.5、1.0、1.5、2.0、2.5h,分析不同恢复顺序下单节点恢复时长对网络韧性的影响,见图 8。
由图 8 可知,曲线整体呈现缓慢下降的走势,偶尔会有小幅上升。结合表 7 来看,大部分情况下,单节点恢复时间越长,单位时间网络韧性越低,受影响人数越多。以按香农熵值恢复顺序为例,当恢复时长从 0.5h 增至 2.5h 时,单位时间网络韧性从 0.9858 降至 0.9698,受影响人数从 1176 人次激增至 9735 人次,增长了约 7.3 倍。这意味着通常情况下,当攻击节点顺序一定时,快速地给被攻击节点提供恢复资源,有助于交通网络快速回归正常运行状态;缩短单节点恢复时间不仅能提升网络的整体韧性,还能减少受影响人群的数量,这对于保障公共交通服务的连续性和可靠性具有重要意义。

图8 不同单节点恢复时长扰动场景的单位时间网络韧性
控制单节点恢复时长均为 1.0h,攻击时刻均为 8:30,选取 10 月 7 日 (国庆节)、10 月 16 日 (工作日)、10 月 26 日 (周末) 3 天进行韧性评估,分析不同恢复顺序下攻击日对网络韧性的影响,结果如图 9 所示,可以看出:对于每一种恢复顺序,曲线均呈逐渐下降的特征,即国庆日网络韧性最大、工作日次之、周末最小。考虑到 3 天客流规模存在差异,进一步对比受影响人数占原始出行人数的比例更具客观性。从表 7 数据可知,国庆日受影响人数比例最低,工作日次之,周末最高,该比例与韧性呈现明显的反比例关系。以按 TOPSIS 值顺序恢复为例,国庆节、工作日、周末的单位网络韧性分别为 0.9832、0.9773 和 0.9746,受影响人数比例分别为 5.2%、6.1% 和 8.1%。

图9 不同攻击日扰动场景的单位时间网络韧性
单位时间网络韧性呈现国庆最大、工作日次之、周末最小的规律,是客流分布离散程度和网络冗余度共同作用的结果。结合表 9 来看,虽然国庆整体客流量大,但每条线路的剩余容量较低,导致客流分布较为分散,对局部攻击不敏感,因而集中攻击节点时受影响人数比例最低;灾前人均综合成本本身较大,且替代路径的人均成本与灾前差异小,因此单位时间网络韧性较高。工作日的客流分布较国庆更为集中,但比周末分散,因此在节点攻击下受影响人数比例处于中间水平;网络冗余度介于国庆与周末之间,系统在遭受攻击时仍具备一定的缓冲与调节能力,使得单位时间网络韧性居中。周末乘客出行在关键节点和时段较为集中,导致节点攻击时受影响人数比例最高;加之灾前人均成本较低,关键节点负荷偏高,一旦遭受攻击容易引发连锁反应,影响范围扩大,最终使得单位时间网络韧性最低。
表9 乘客出行人数的离散程度和路径数量平均值

(1) 本文围绕综合枢纽集群的对外交通网络韧性评估开展研究,提出的方法能够客观地描述枢纽集群综合交通网络的韧性,融合指标能够反映不同恢复策略对于路网韧性的影响,为分析枢纽间铁路、民航和城市交通等多模式交通网络的潜在运输能力,合理配置交通应急处置资源等提供科学依据。
(2) 对比不同的枢纽站点恢复策略,结果表明节点强度恢复策略最优,表明在京津冀通往上海、广州、成都核心通道的背景下,在京津冀城市群枢纽发生突发事件时,应优先保障节点强度高的枢纽,如首都国际机场、滨海国际机场等;早间时段网络对节点攻击最为敏感,需在该时段加强网络监控和应急响应能力;缩短单节点恢复时长能够显著提升网络韧性,减少网络性能损失;应根据不同日期的网络特征,提前制定针对性的应急预案。
(3) 京津冀枢纽集群实例验证表明,随着交通一体化的不断发展,在典型城市群间多模式出行交通网络的背景下,区域内枢纽间的联通性不断提升,在应对突发事件扰动时,枢纽集群及其连接网络具备较高的韧性。但由于未充分挖掘现有多模式对外交通网络的运输能力,依旧会导致在突发事件下部分枢纽站点出现客流堆积等情形。因此,有必要在突发事件下通过备选路线推送、应急运力接驳等方式,引导受影响客流通过其他路线和方式继续完成行程。
(4) 为进一步完善交通枢纽群对外综合交通网络的韧性评估体系,仍存在诸多可进一步拓展的方向:一是模型行为假设方面,需充分考虑乘客路径依赖、信息不对称等有限理性特征,以及多 OD 对的分配顺序和扰动后乘客的交通方式选择行为,以更精准地模拟客流动态;二是扰动与恢复情景方面,可融合动态运营数据 (如列车晚点、航班取消概率) 来识别关键节点,并探索多节点并行恢复策略,进一步将这些策略与具体的路网优化措施 (如新修线路、加密班次) 相结合,使韧性评估能直接服务于网络优化与应急决策;三是研究范围与网络结构方面,未来应将城际公路网络纳入,同时扩大外部节点的研究范围,不断完善多模式交通系统,使得研究结论更具普适性,并揭示网络更深层的脆弱性。